Официальное опубликование правовых актов
ОФИЦИАЛЬНОЕ ОПУБЛИКОВАНИЕ
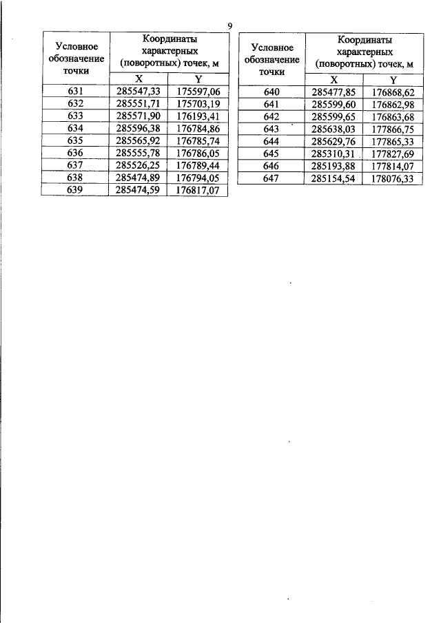
Постановление администрации Владимирской области от 02.06.2017 № 475
"О реорганизации отдельных особо охраняемых природных территорий регионального значения"
Номер опубликования: 3300201706070003
Дата опубликования: 07.06.2017
Страница №19 из 22:
Увеличить