Официальное опубликование правовых актов
ОФИЦИАЛЬНОЕ ОПУБЛИКОВАНИЕ
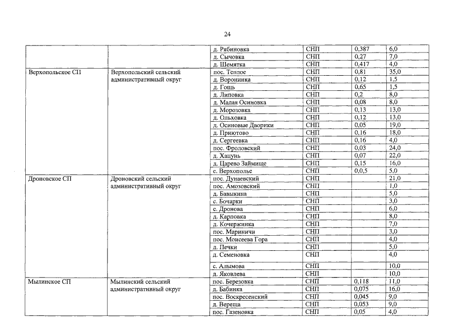
Постановление Правительства Брянской области от 28.06.2021 № 236-п
"Об утверждении реестра административно-территориальных единиц, городских административных округов, поселковых административных округов, сельских административных округов, населенных пунктов Брянской области"
Номер опубликования: 3200202107020001
Дата опубликования: 02.07.2021
Страница №26 из 172:
Увеличить