Официальное опубликование правовых актов
ОФИЦИАЛЬНОЕ ОПУБЛИКОВАНИЕ
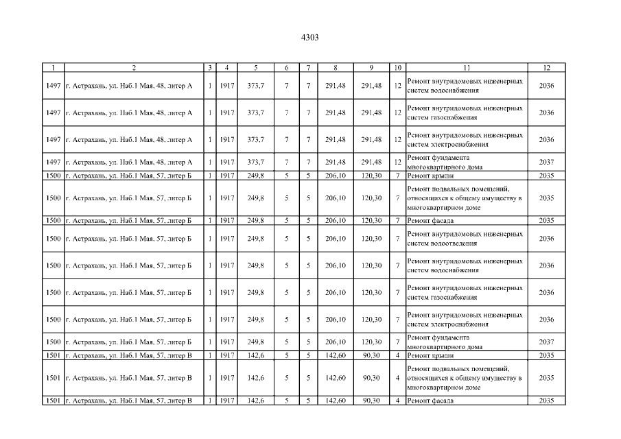
Постановление Правительства Астраханской области от 15.12.2022 № 640-П
"О государственной программе "Улучшение качества предоставления жилищно-коммунальных услуг на территории Астраханской области"
Номер опубликования: 3000202212220001
Дата опубликования: 22.12.2022
Страница №4307 из 4534:
Увеличить