Официальное опубликование правовых актов
ОФИЦИАЛЬНОЕ ОПУБЛИКОВАНИЕ
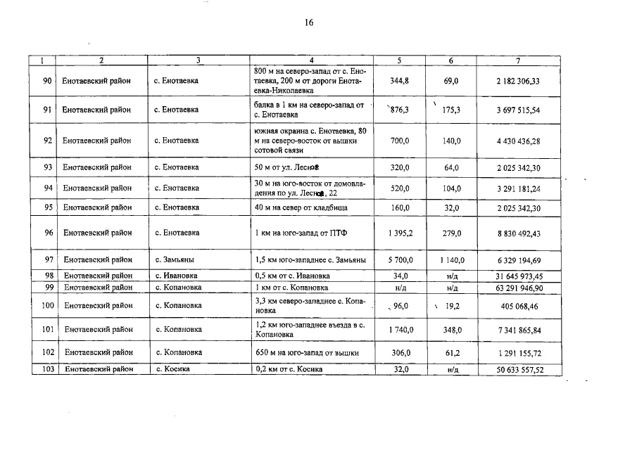
Постановление Правительства Астраханской области от 21.06.2019 № 202-П "О региональной программе "Обращение с отходами производства и потребления, в том числе с твердыми коммунальными отходами, на территории Астраханской области"
Номер опубликования: 3000201906270007
Дата опубликования: 27.06.2019
Страница №17 из 49:
Увеличить