Официальное опубликование правовых актов
ОФИЦИАЛЬНОЕ ОПУБЛИКОВАНИЕ
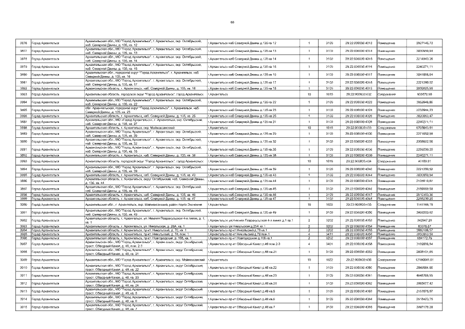
Постановление Министерства имущественных отношений Архангельской области от 15.11.2021 № 7-п
"Об утверждении результатов определения кадастровой стоимости зданий, сооружений, помещений, машино-мест, объектов незавершенного строительства, расположенных на территории Архангельской области"
Номер опубликования: 2901202111240006
Дата опубликования: 24.11.2021
Страница №90 из 17719:
Увеличить