Официальное опубликование правовых актов
ОФИЦИАЛЬНОЕ ОПУБЛИКОВАНИЕ
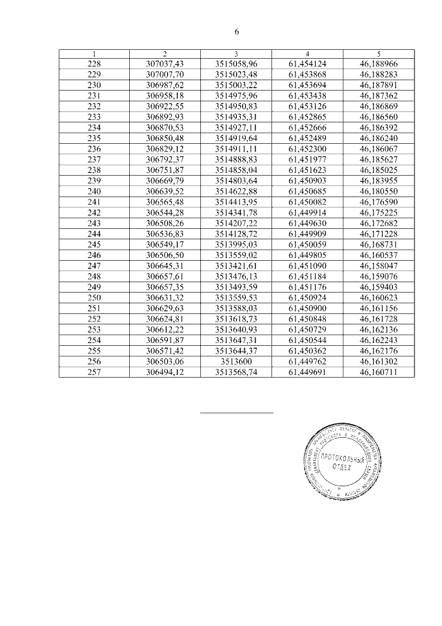
Постановление Правительства Архангельской области от 06.02.2023 № 94-пп
"Об утверждении Положения о памятнике природы регионального значения "Естественные насаждения – сосновый бор с примесью еловых насаждений"
Номер опубликования: 2900202302070003
Дата опубликования: 07.02.2023
Страница №13 из 13:
Увеличить