Официальное опубликование правовых актов
ОФИЦИАЛЬНОЕ ОПУБЛИКОВАНИЕ
Постановление Правительства Архангельской области от 18.11.2022 № 946-пп
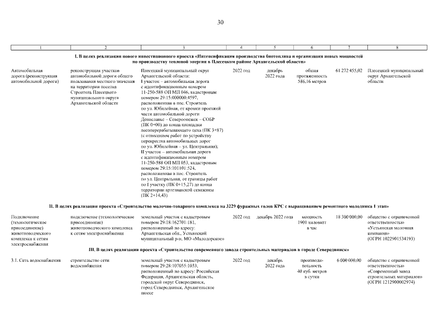
"О внесении изменений в отдельные постановления Правительства Архангельской области в целях использования и распределения зарезервированных в составе бюджетных ассигнований средств областного бюджета на осуществление бюджетных инвестиций в объекты инфраструктуры в целях реализации новых инвестиционных проектов"
Номер опубликования: 2900202211250007
Дата опубликования: 25.11.2022
Страница №32 из 34:
Увеличить