Официальное опубликование правовых актов
ОФИЦИАЛЬНОЕ ОПУБЛИКОВАНИЕ
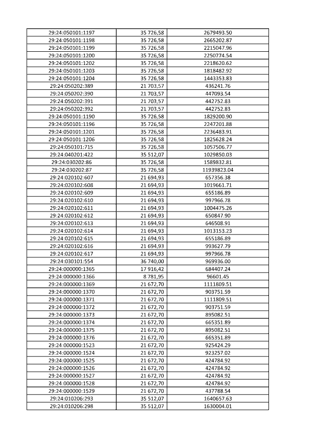
Постановление Правительства Архангельской области от 17.10.2017 № 431-пп
"Об устранении ошибок в результатах определения кадастровой стоимости объектов недвижимости на территории Архангельской области"
Номер опубликования: 2900201710260002
Дата опубликования: 26.10.2017
Страница №203 из 231:
Увеличить