Официальное опубликование правовых актов
ОФИЦИАЛЬНОЕ ОПУБЛИКОВАНИЕ
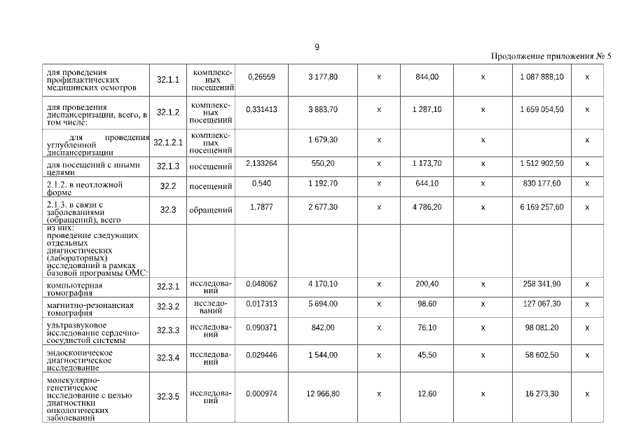
Постановление Правительства Хабаровского края от 30.12.2022 № 735-пр
"О Территориальной программе государственных гарантий бесплатного оказания гражданам медицинской помощи на территории Хабаровского края на 2023 год и на плановый период 2024 и 2025 годов"
Номер опубликования: 2700202212300016
Дата опубликования: 30.12.2022
Страница №98 из 123:
Увеличить