Официальное опубликование правовых актов
ОФИЦИАЛЬНОЕ ОПУБЛИКОВАНИЕ
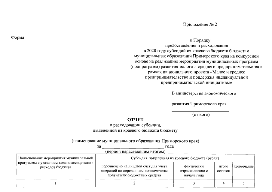
Постановление Администрации Приморского края от 19.12.2019 № 860-па
"Об утверждении государственной программы Приморского края "Экономическое развитие и инновационная экономика Приморского края" на 2020-2027 годы"
Номер опубликования: 2500201912230005
Дата опубликования: 23.12.2019
Страница №132 из 139:
Увеличить