Официальное опубликование правовых актов
ОФИЦИАЛЬНОЕ ОПУБЛИКОВАНИЕ
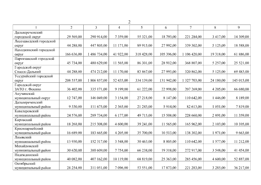
Закон Приморского края от 19.12.2019 № 664-КЗ
"О краевом бюджете на 2020 год и плановый период 2021 и 2022 годов"
Номер опубликования: 2500201912200008
Дата опубликования: 20.12.2019
Страница №1614 из 1700:
Увеличить