Официальное опубликование правовых актов
ОФИЦИАЛЬНОЕ ОПУБЛИКОВАНИЕ
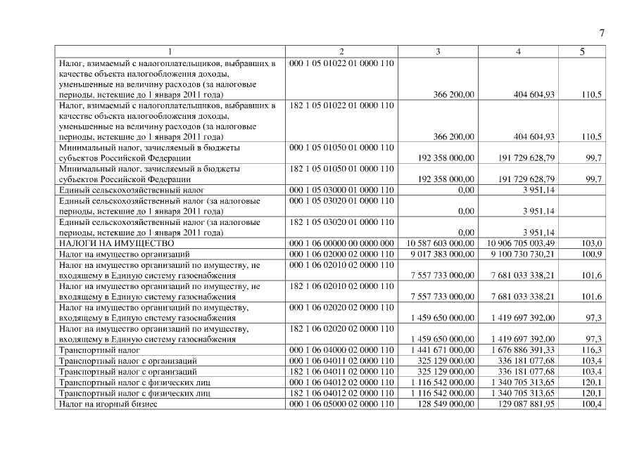
Закон Приморского края от 05.07.2017 № 138-КЗ
"Об исполнении краевого бюджета за 2016 год"
Номер опубликования: 2500201707070007
Дата опубликования: 07.07.2017
Страница №9 из 1209:
Увеличить