Официальное опубликование правовых актов
ОФИЦИАЛЬНОЕ ОПУБЛИКОВАНИЕ
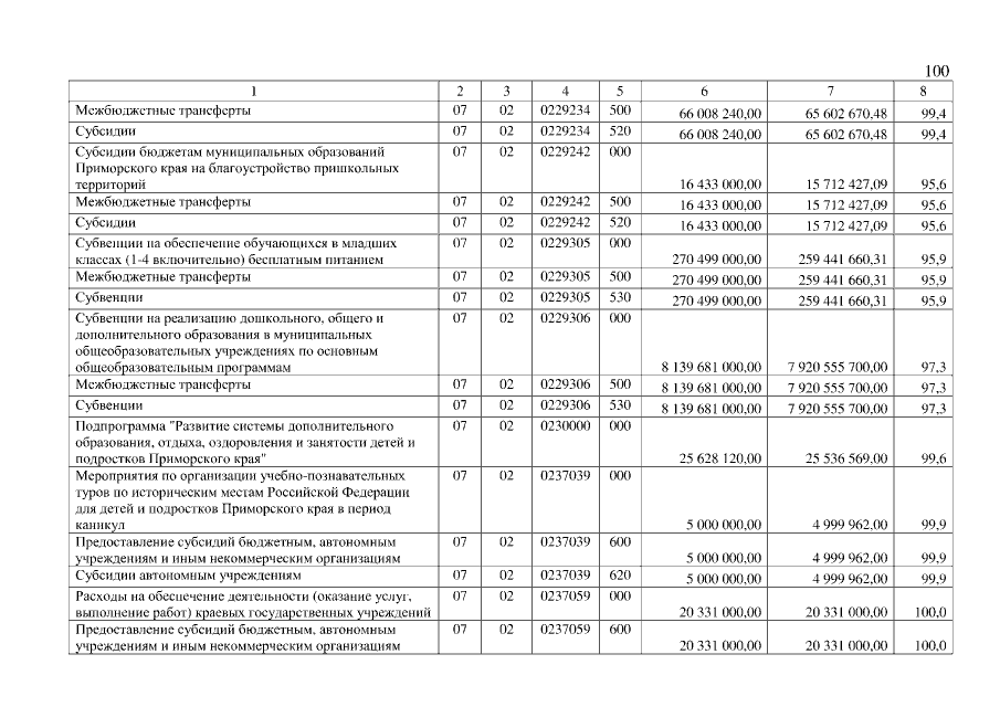
Закон Приморского края от 17.06.2016 № 842-КЗ
"Об исполнении краевого бюджета за 2015 год"
Номер опубликования: 2500201606240001
Дата опубликования: 24.06.2016
Страница №929 из 1181:
Увеличить