Официальное опубликование правовых актов
ОФИЦИАЛЬНОЕ ОПУБЛИКОВАНИЕ
Постановление Правительства Красноярского края от 30.07.2019 № 404-п
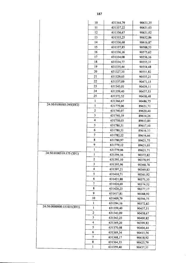
"О внесении изменений в постановление Правительства Красноярского края от 14.12.2017 № 749-п "Об утверждении документации по планировке территории для размещения объектов регионального значения спортивно-тренировочного комплекса "Академия зимних видов спорта": многофункционального спортивного комплекса "Радуга" и многофункционального спортивного комплекса "Сопка"
Номер опубликования: 2400201908090019
Дата опубликования: 09.08.2019
Страница №189 из 194:
Увеличить