Официальное опубликование правовых актов
ОФИЦИАЛЬНОЕ ОПУБЛИКОВАНИЕ
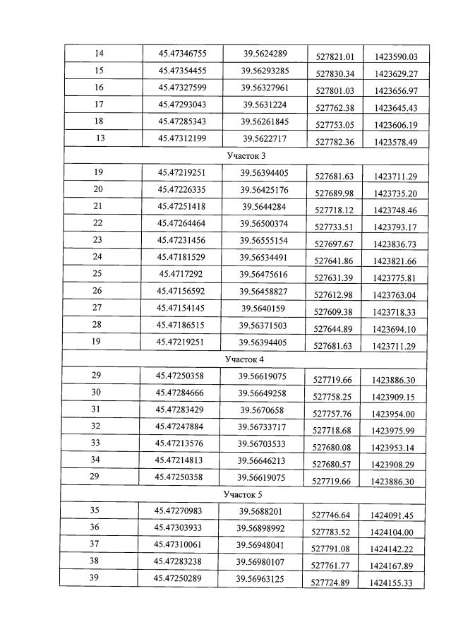
Приказ администрации Краснодарского края от 25.10.2021 № 840-КН
"Об утверждении границ и режима использования территорий некоторых объектов культурного наследия федерального значения, расположенных на территории муниципального образования Кореновский район Краснодарского края"
Номер опубликования: 2301202110290013
Дата опубликования: 29.10.2021
Страница №27 из 32:
Увеличить