Официальное опубликование правовых актов
ОФИЦИАЛЬНОЕ ОПУБЛИКОВАНИЕ
Приказ администрации Краснодарского края от 23.07.2018 № 208-КН
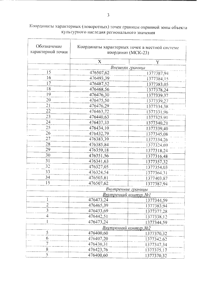
"Об утверждении предметов охраны, границ территорий и зон охраны объектов культурного наследия регионального значения, расположенных в г. Краснодаре, квартал № 22: "Дом жилой А.И. Орлова", начало XX в., г. Краснодар, угол ул. Октябрьской, 33 и ул. им. Пушкина, 25, лит. А; "Дом жилой Ч.Ф. Гайтон", начало XX в., г. Краснодар, ул. Октябрьская, 37, лит. А; "Усадьба И.П. Богарсукова: дом жилой; ограда", 1900 – 1910 годы, г. Краснодар, ул. Октябрьская, 39, лит. А, А1, А2, с пристройками"
Номер опубликования: 2301201807260003
Дата опубликования: 26.07.2018
Страница №26 из 44:
Увеличить