Официальное опубликование правовых актов
ОФИЦИАЛЬНОЕ ОПУБЛИКОВАНИЕ
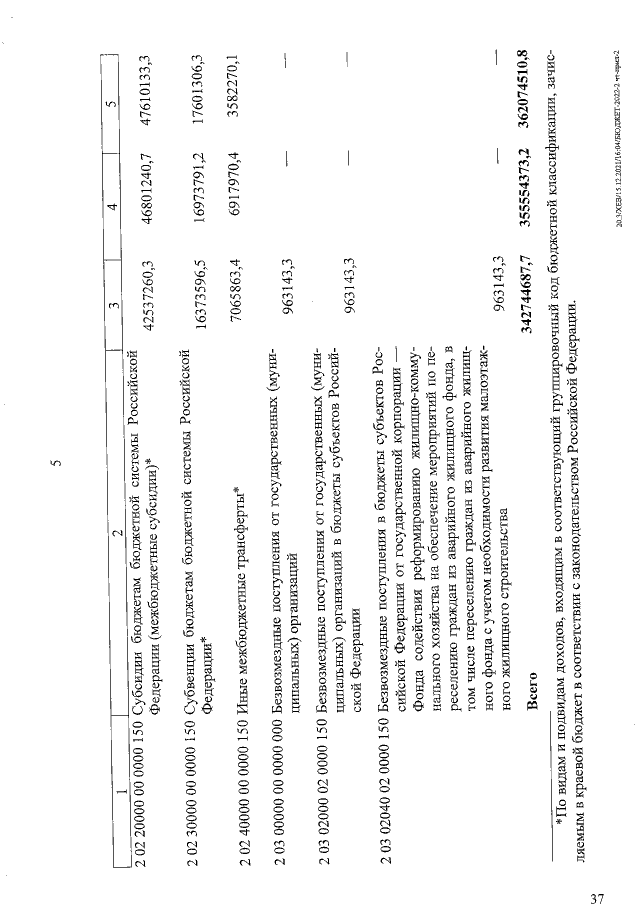
Закон Краснодарского края от 22.12.2021 № 4616-КЗ
"О краевом бюджете на 2022 год и на плановый период 2023 и 2024 годов"
Номер опубликования: 2300202112280018
Дата опубликования: 28.12.2021
Страница №37 из 1416:
Увеличить