Официальное опубликование правовых актов
ОФИЦИАЛЬНОЕ ОПУБЛИКОВАНИЕ
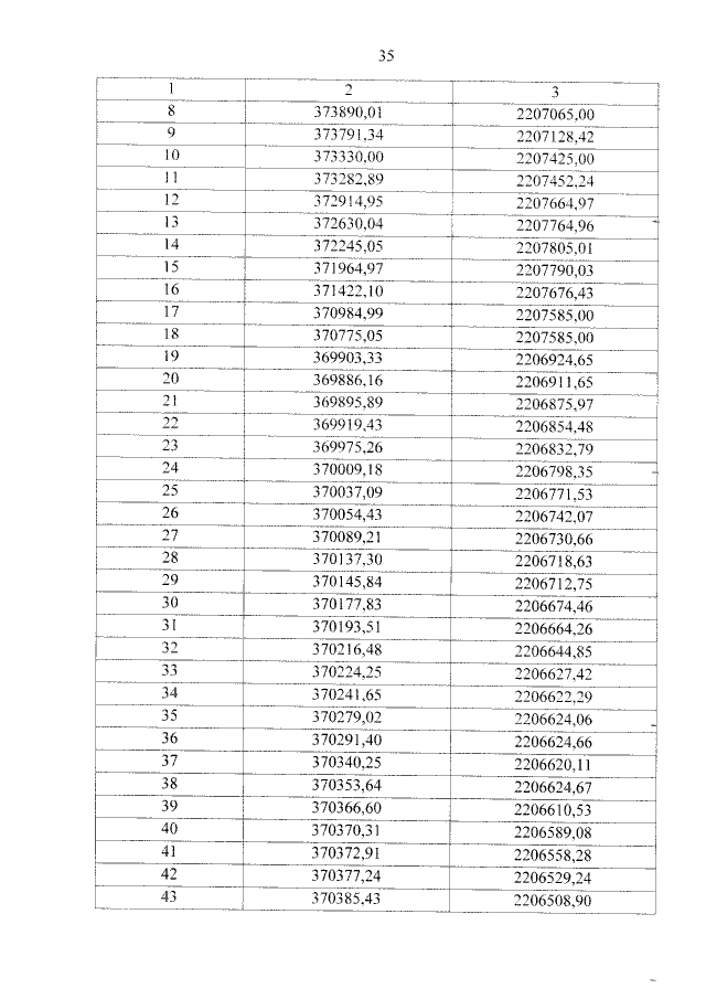
Постановление главы администрации (губернатора) Краснодарского края от 21.07.2017 № 548
"О государственном природном комплексном (ландшафтном) заказнике регионального значения "Черногорье"
Номер опубликования: 2300201707270001
Дата опубликования: 27.07.2017
Страница №45 из 66:
Увеличить