Официальное опубликование правовых актов
ОФИЦИАЛЬНОЕ ОПУБЛИКОВАНИЕ
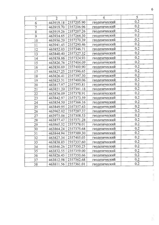
Приказ Управления государственной охраны объектов культурного наследия Алтайского края от 09.11.2022 № 1558
"Об установлении зоны охраны объекта культурного наследия регионального значения "Мемориальный комплекс воинам, погибшим в годы Великой Отечественной войны (1941 – 1945 гг.)", 1965 г., расположенного по адресу: Алтайский край, Усть-Калманский район, с. Усть-Калманка, ул. Ленина, 21, утверждении режима использования земель и требований к градостроительным регламентам в границах территории данной зоны"
Номер опубликования: 2201202211110041
Дата опубликования: 11.11.2022
Страница №6 из 9:
Увеличить