Официальное опубликование правовых актов
ОФИЦИАЛЬНОЕ ОПУБЛИКОВАНИЕ
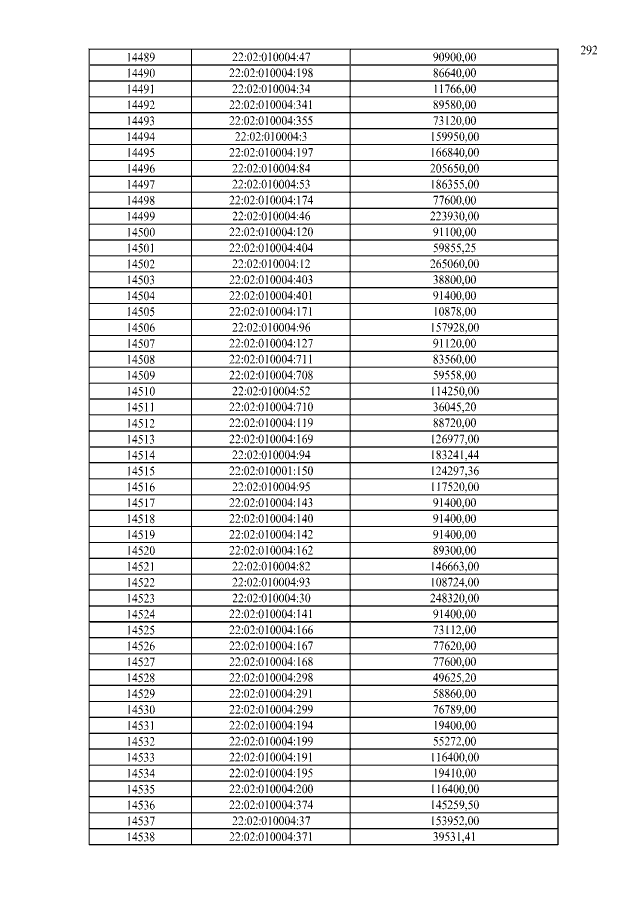
Приказ Управления имущественных отношений Алтайского края от 24.10.2022 № 165
"Об утверждении результатов определения кадастровой стоимости земельных участков, учтенных в Едином государственном реестре недвижимости на территории Алтайского края"
Номер опубликования: 2201202210270018
Дата опубликования: 27.10.2022
Страница №292 из 22535:
Увеличить