Официальное опубликование правовых актов
ОФИЦИАЛЬНОЕ ОПУБЛИКОВАНИЕ
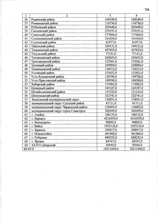
Закон Алтайского края от 30.11.2022 № 110-ЗС
"О краевом бюджете на 2023 год и на плановый период 2024 и 2025 годов"
Номер опубликования: 2200202212010005
Дата опубликования: 01.12.2022
Страница №708 из 750:
Увеличить