Официальное опубликование правовых актов
ОФИЦИАЛЬНОЕ ОПУБЛИКОВАНИЕ
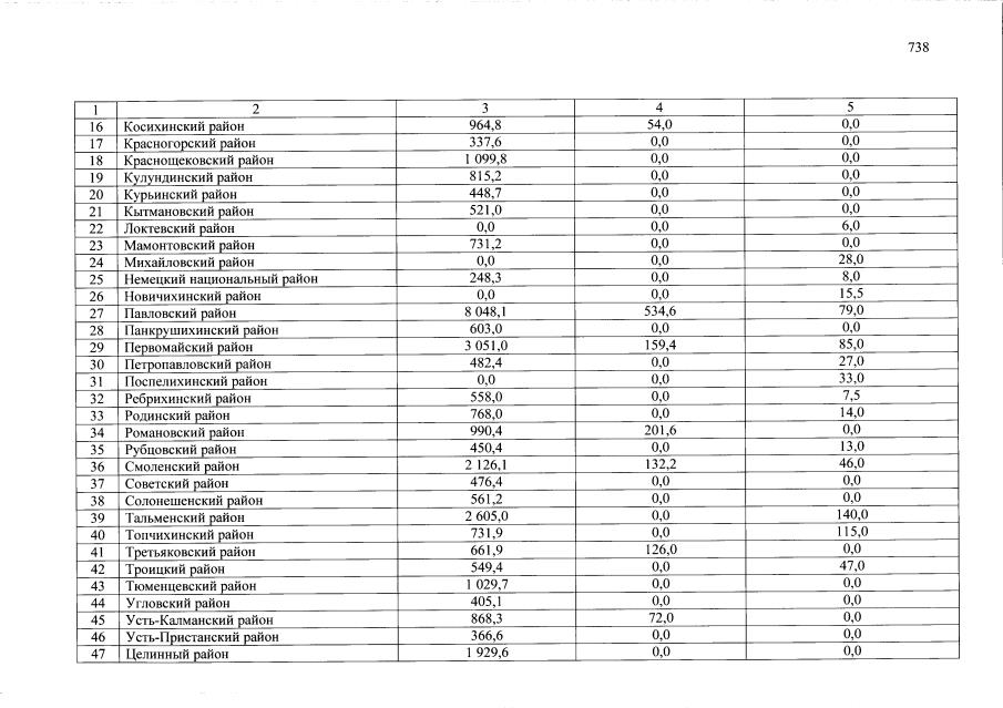
Закон Алтайского края от 30.11.2021 № 105-ЗС
"О краевом бюджете на 2022 год и на плановый период 2023 и 2024 годов"
Номер опубликования: 2200202112020004
Дата опубликования: 02.12.2021
Страница №738 из 773:
Увеличить