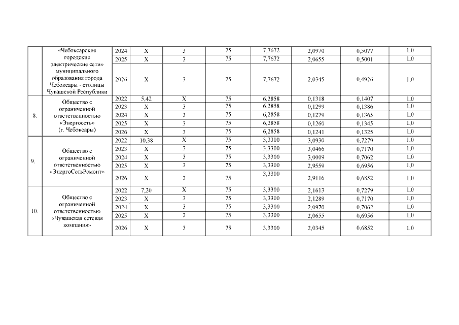
Постановление Государственной службы Чувашской Республики по конкурентной политике и тарифам от 24.12.2021 № 96-24/э
"Об установлении индивидуальных тарифов на услуги по передаче электрической энергии для взаиморасчетов между сетевыми организациями на территории Чувашской Республики на 2022-2026 годы"
(Зарегистрирован 29.12.2021 № 7421)
"Об установлении индивидуальных тарифов на услуги по передаче электрической энергии для взаиморасчетов между сетевыми организациями на территории Чувашской Республики на 2022-2026 годы"
(Зарегистрирован 29.12.2021 № 7421)
Номер опубликования: 2101202112300011
Дата опубликования:
30.12.2021
