Официальное опубликование правовых актов
ОФИЦИАЛЬНОЕ ОПУБЛИКОВАНИЕ
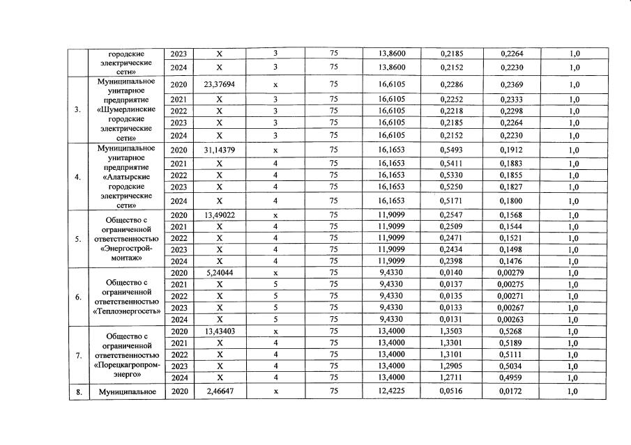
Постановление Государственной службы Чувашской Республики по конкурентной политике и тарифам от 30.12.2019 № 139-25/э
"Об установлении индивидуальных тарифов на услуги по передаче электрической энергии для взаиморасчетов между сетевыми организациями на территории Чувашской Республики на 2020-2024 годы"
(Зарегистрирован 31.12.2019 № 5708)
Номер опубликования: 2101201912310010
Дата опубликования: 31.12.2019
Страница №3 из 11:
Увеличить