Официальное опубликование правовых актов
ОФИЦИАЛЬНОЕ ОПУБЛИКОВАНИЕ
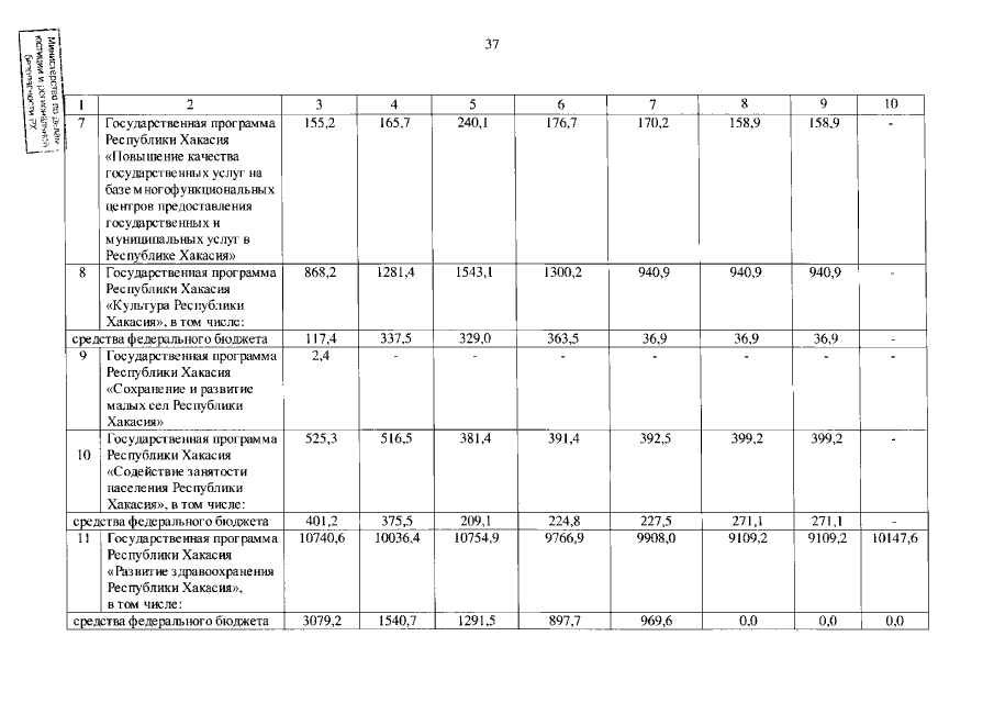
Постановление Правительства Республики Хакасия от 09.02.2023 № 89
"О внесении изменений в приложение к постановлению Правительства Республики Хакасия от 27.02.2017 № 75 "Об утверждении Долгосрочного бюджетного прогноза Республики Хакасия на период до 2036 года"
Номер опубликования: 1900202302100007
Дата опубликования: 10.02.2023
Страница №37 из 42:
Увеличить