Официальное опубликование правовых актов
ОФИЦИАЛЬНОЕ ОПУБЛИКОВАНИЕ
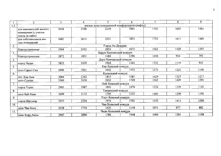
Постановление Правительства Республики Тыва от 29.03.2023 № 195
"О внесении изменений в постановление Правительства Республики Тыва от 30 января 2013 г. № 45"
Номер опубликования: 1700202303300009
Дата опубликования: 30.03.2023
Страница №3 из 16:
Увеличить