Официальное опубликование правовых актов
ОФИЦИАЛЬНОЕ ОПУБЛИКОВАНИЕ
Постановление Правительства Республики Тыва от 29.03.2023 № 197
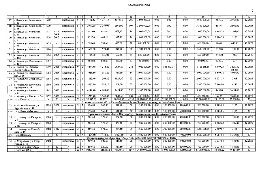
"О внесении изменения в краткосрочный план реализации региональной программы "Капитальный ремонт общего имущества в многоквартирных домах, расположенных на территории Республики Тыва, на 2014-2043 годы" на 2023-2025 годы"
Номер опубликования: 1700202303300008
Дата опубликования: 30.03.2023
Страница №7 из 19:
Увеличить