Официальное опубликование правовых актов
ОФИЦИАЛЬНОЕ ОПУБЛИКОВАНИЕ
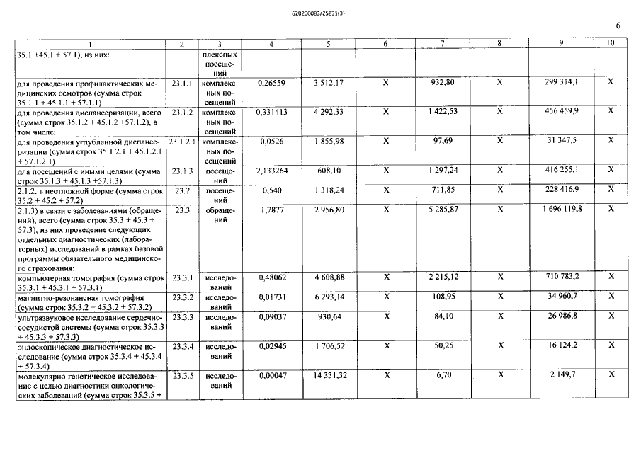
Постановление Правительства Республики Тыва от 29.12.2022 № 873
"Об утверждении Территориальной программы государственных гарантий бесплатного оказания гражданам медицинской помощи в Республике Тыва на 2023 год и на плановый период 2024 и 2025 годов"
Номер опубликования: 1700202301040004
Дата опубликования: 04.01.2023
Страница №59 из 179:
Увеличить