Официальное опубликование правовых актов
ОФИЦИАЛЬНОЕ ОПУБЛИКОВАНИЕ
Постановление Правительства Республики Тыва от 30.12.2021 № 756
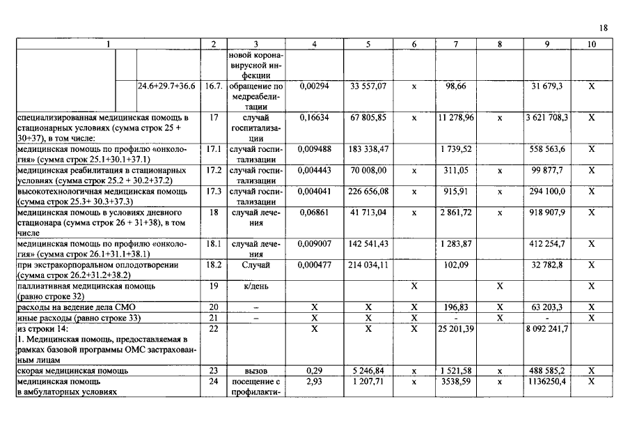
"Об утверждении Территориальной программы государственных гарантий бесплатного оказания гражданам медицинской помощи в Республике Тыва на 2022 год и на плановый период 2023 и 2024 годов"
Номер опубликования: 1700202201040004
Дата опубликования: 04.01.2022
Страница №72 из 158:
Увеличить