Официальное опубликование правовых актов
ОФИЦИАЛЬНОЕ ОПУБЛИКОВАНИЕ
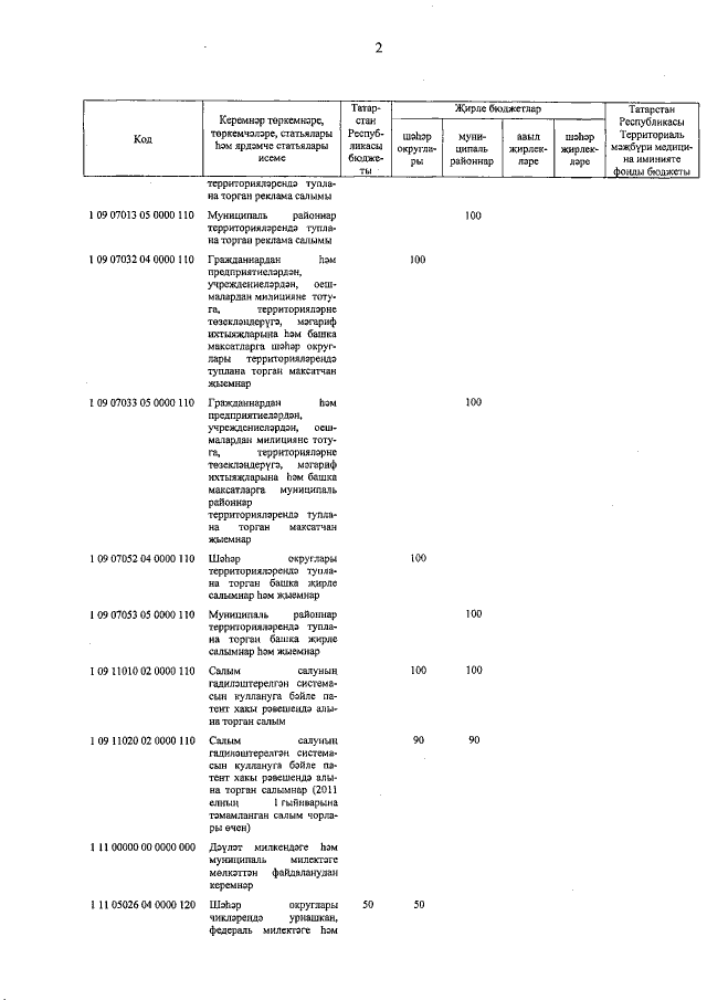
Закон Республики Татарстан от 23.11.2022 № 82-ЗРТ
"О бюджете Республики Татарстан на 2023 год и на плановый период 2024 и 2025 годов"
Номер опубликования: 1600202211280001
Дата опубликования: 28.11.2022
Страница №1535 из 3012:
Увеличить