Официальное опубликование правовых актов
ОФИЦИАЛЬНОЕ ОПУБЛИКОВАНИЕ
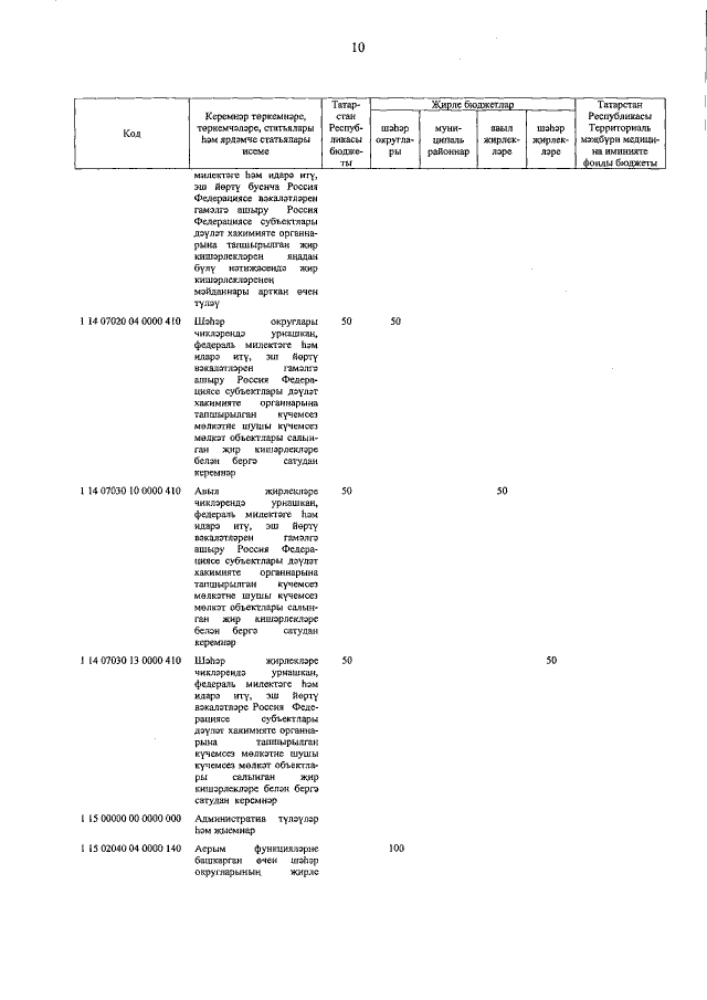
Закон Республики Татарстан от 25.11.2021 № 86-ЗРТ
"О бюджете Республики Татарстан на 2022 год и на плановый период 2023 и 2024 годов"
Номер опубликования: 1600202112020001
Дата опубликования: 02.12.2021
Страница №1541 из 3028:
Увеличить