Официальное опубликование правовых актов
ОФИЦИАЛЬНОЕ ОПУБЛИКОВАНИЕ
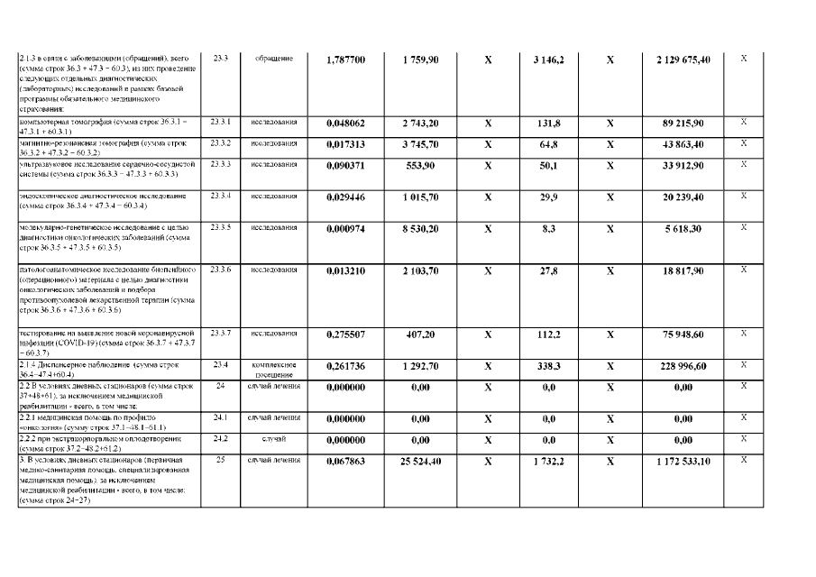
Постановление Правительства Республики Северная Осетия - Алания от 20.12.2022 № 550
"О Территориальной программе государственных гарантий бесплатного оказания гражданам медицинской помощи на территории Республики Северная Осетия-Алания на 2023 год и на плановый период 2024 и 2025 годов"
Номер опубликования: 1500202212230002
Дата опубликования: 23.12.2022
Страница №177 из 215:
Увеличить