Официальное опубликование правовых актов
ОФИЦИАЛЬНОЕ ОПУБЛИКОВАНИЕ
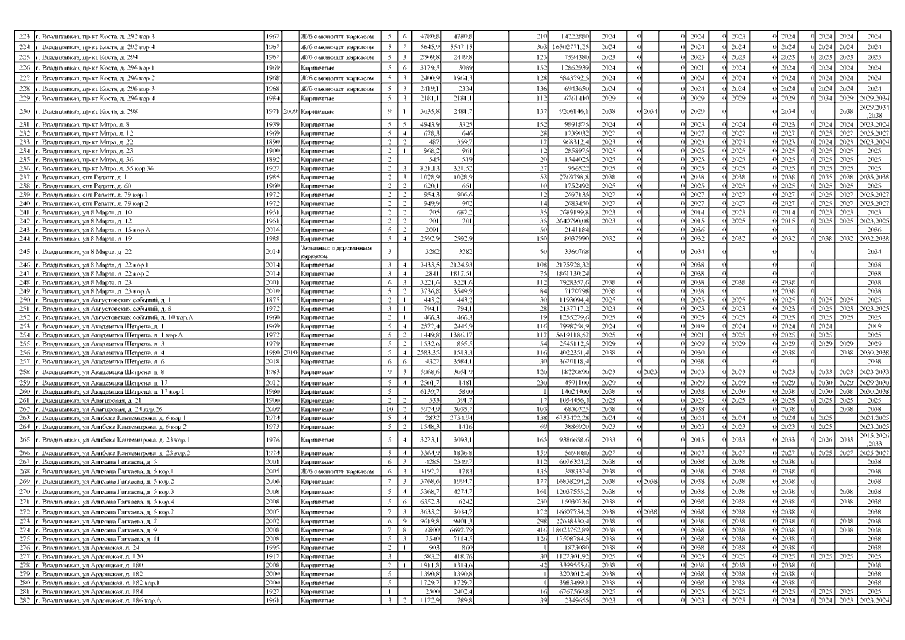
Постановление Правительства Республики Северная Осетия - Алания от 30.12.2020 № 477
"О внесении изменений в постановление Правительства Республики Северная Осетия-Алания от 30 декабря 2013 года № 513 "О Республиканской программе "Капитальный ремонт общего имущества в многоквартирных домах" на 2014-2038 годы"
Номер опубликования: 1500202012310011
Дата опубликования: 31.12.2020
Страница №9 из 759:
Увеличить