Официальное опубликование правовых актов
ОФИЦИАЛЬНОЕ ОПУБЛИКОВАНИЕ
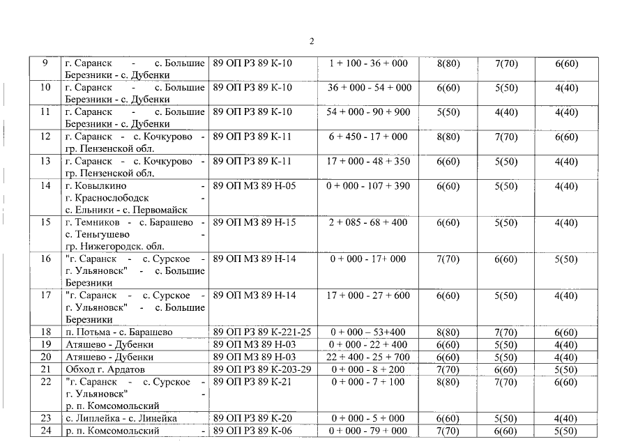
Приказ Государственного комитета по транспорту и дорожному хозяйству Республики Мордовия от 28.02.2022 № 39
"О временном ограничении движения транспортных средств по автомобильным дорогам общего пользования регионального или межмуниципального значения Республики Мордовия в весенний период 2022 года"
Номер опубликования: 1302202203020001
Дата опубликования: 02.03.2022
Страница №5 из 7:
Увеличить