Официальное опубликование правовых актов
ОФИЦИАЛЬНОЕ ОПУБЛИКОВАНИЕ
Постановление Правительства Республики Карелия от 30.12.2021 № 652-П
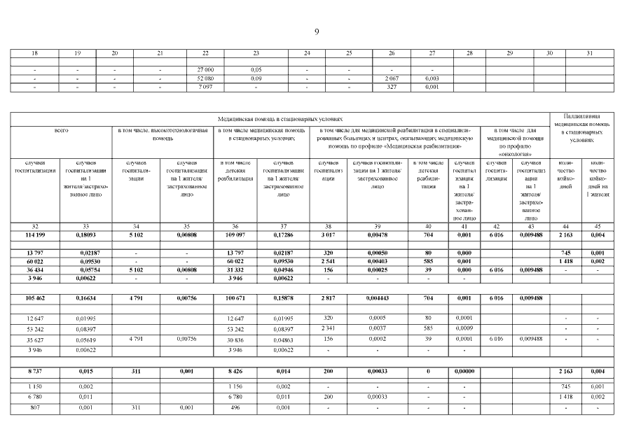
"О Территориальной программе государственных гарантий бесплатного оказания гражданам медицинской помощи в Республики Карелия на 2022 год и на плановый период 2023 и 2024 годов"
Номер опубликования: 1000202112300018
Дата опубликования: 30.12.2021
Страница №52 из 388:
Увеличить