Официальное опубликование правовых актов
ОФИЦИАЛЬНОЕ ОПУБЛИКОВАНИЕ
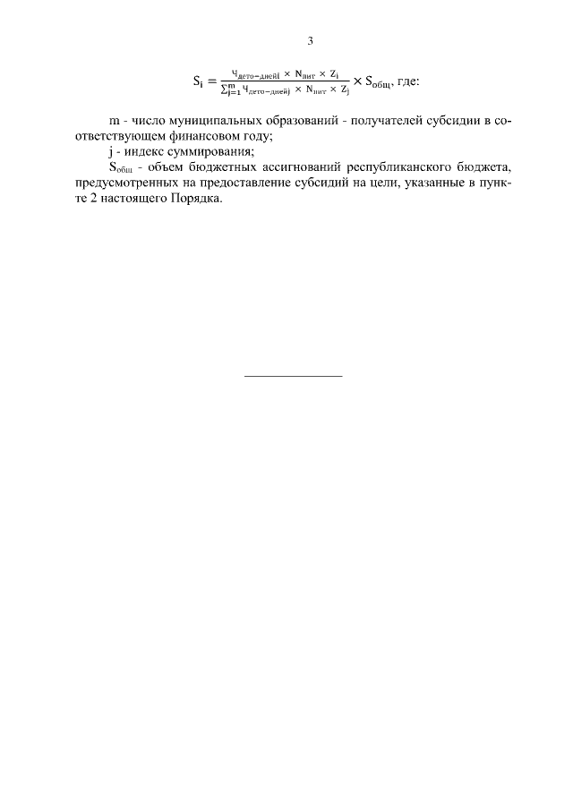
Постановление Правительства Республики Бурятия от 31.08.2020 № 523
"О внесении изменений в некоторые нормативные правовые акты Правительства Республики Бурятия"
Номер опубликования: 0300202009030005
Дата опубликования: 03.09.2020
Страница №13 из 13:
Увеличить