Официальное опубликование правовых актов
ОФИЦИАЛЬНОЕ ОПУБЛИКОВАНИЕ
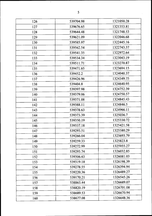
Приказ Министерства природных ресурсов и экологии Российской Федерации от 31.03.2023 № 167
"Об утверждении Положения о государственном природном заказнике федерального значения "Воронежский"
(Зарегистрирован 04.05.2023 № 73235)
Номер опубликования: 0001202305040004
Дата опубликования: 04.05.2023
Страница №13 из 68:
Увеличить