Официальное опубликование правовых актов
ОФИЦИАЛЬНОЕ ОПУБЛИКОВАНИЕ
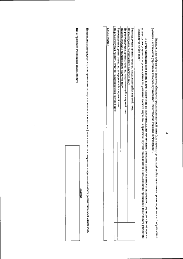
Приказ Министерства науки и высшего образования Российской Федерации от 06.02.2023 № 108
"Об утверждении форм направления сведений, информации и документов, указанных в пункте 3 Положения о единой государственной информационной системе учета научно-исследовательских, опытно-конструкторских и технологических работ гражданского назначения, утвержденного постановлением Правительства Российской Федерации от 12 апреля 2013 г. № 327, требований к заполнению и направлению указанных форм"
(Зарегистрирован 10.04.2023 № 72958)
Номер опубликования: 0001202304110003
Дата опубликования: 11.04.2023
Страница №98 из 220:
Увеличить