Официальное опубликование правовых актов
ОФИЦИАЛЬНОЕ ОПУБЛИКОВАНИЕ
Приказ Министерства природных ресурсов и экологии Российской Федерации от 15.02.2023 № 83
"Об утверждении Положения о национальном парке "Кисловодский"
(Зарегистрирован 24.03.2023 № 72700)
Номер опубликования: 0001202303240017
Дата опубликования: 24.03.2023
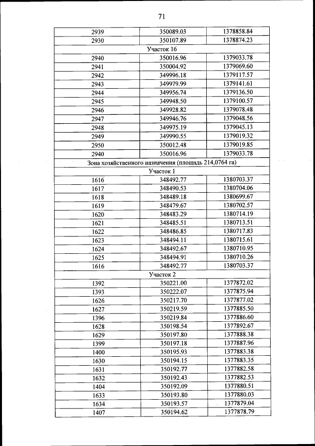
Страница №119 из 152:
Увеличить