Официальное опубликование правовых актов
ОФИЦИАЛЬНОЕ ОПУБЛИКОВАНИЕ
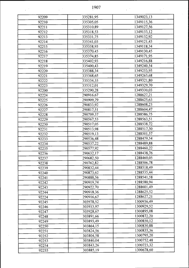
Приказ Министерства природных ресурсов и экологии Российской Федерации от 15.02.2023 № 84
"Об утверждении Положения о национальном парке "Ладожские шхеры"
(Зарегистрирован 28.02.2023 № 72458)
Номер опубликования: 0001202302280002
Дата опубликования: 28.02.2023
Страница №1922 из 2001:
Увеличить