Официальное опубликование правовых актов
ОФИЦИАЛЬНОЕ ОПУБЛИКОВАНИЕ
Приказ Министерства природных ресурсов и экологии Российской Федерации от 04.10.2022 № 654
"Об утверждении Положения о государственном природном заповеднике "Утриш"
(Зарегистрирован 19.12.2022 № 71610)
Номер опубликования: 0001202212190102
Дата опубликования: 19.12.2022
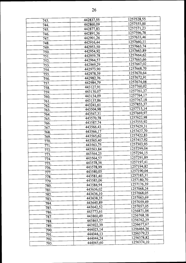
Страница №26 из 62:
Увеличить