Официальное опубликование правовых актов
ОФИЦИАЛЬНОЕ ОПУБЛИКОВАНИЕ
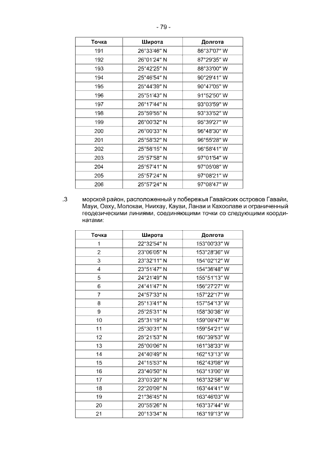
Поправки 2021 года к Приложению к Протоколу 1997 года об изменении Международной конвенции по предотвращению загрязнения с судов 1973 года, измененной Протоколом 1978 года к ней - Пересмотренное Приложение VI к Конвенции МАРПОЛ 2021 года
(вступили в силу для Российской Федерации 1 ноября 2022 года)
Номер опубликования: 0001202212080010
Дата опубликования: 08.12.2022
Страница №80 из 91:
Увеличить