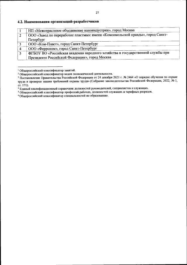
Приказ Министерства труда и социальной защиты Российской Федерации от 17.10.2022 № 663н
"Об утверждении профессионального стандарта "Специалист по технико-экономическому сопровождению полного жизненного цикла изделий из полимерных материалов и композитов, в том числе наноструктурированных"
(Зарегистрирован 17.11.2022 № 71001)
"Об утверждении профессионального стандарта "Специалист по технико-экономическому сопровождению полного жизненного цикла изделий из полимерных материалов и композитов, в том числе наноструктурированных"
(Зарегистрирован 17.11.2022 № 71001)
Номер опубликования: 0001202211180011
Дата опубликования:
18.11.2022
