Официальное опубликование правовых актов
ОФИЦИАЛЬНОЕ ОПУБЛИКОВАНИЕ
Приказ Федеральной антимонопольной службы от 10.03.2022 № 196/22
"Об утверждении Регламента установления цен (тарифов) и (или) их предельных уровней, предусматривающего порядок регистрации, принятия к рассмотрению и выдачи отказов в рассмотрении заявлений об установлении цен (тарифов) и (или) их предельных уровней, и формы решения органа исполнительной власти субъекта Российской Федерации в области государственного регулирования тарифов"
(Зарегистрирован 07.11.2022 № 70823)
Номер опубликования: 0001202211070009
Дата опубликования: 07.11.2022
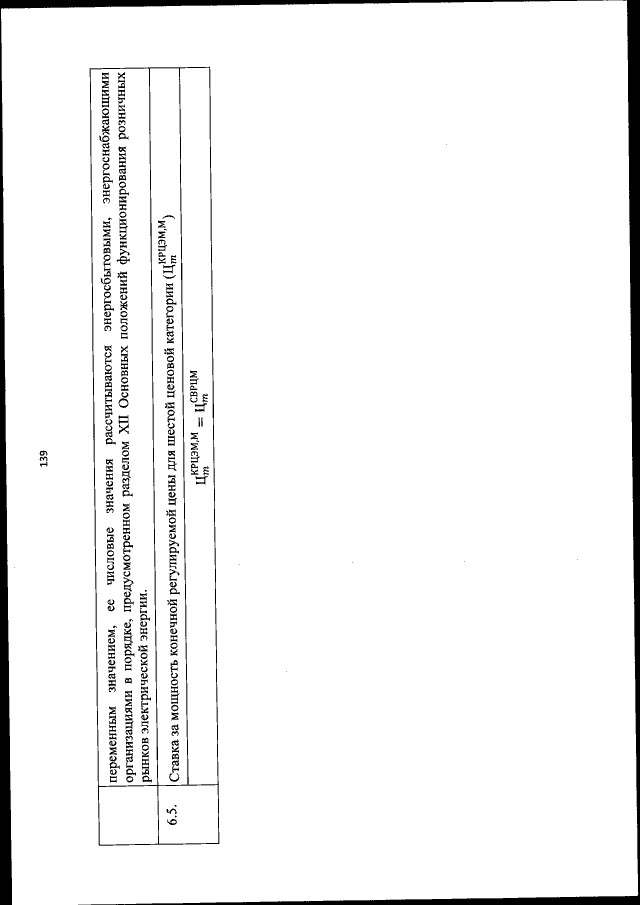
Страница №139 из 383:
Увеличить