Официальное опубликование правовых актов
ОФИЦИАЛЬНОЕ ОПУБЛИКОВАНИЕ
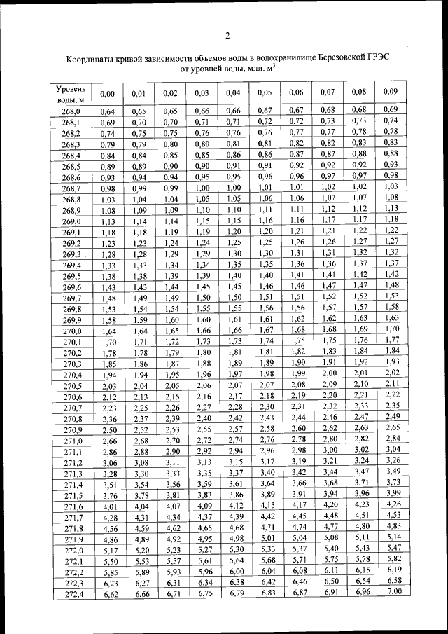
Приказ Федерального агентства водных ресурсов от 30.03.2022 № 73
"Об утверждении Правил использования водных ресурсов водохранилища Березовской ГРЭС"
(Зарегистрирован 31.10.2022 № 70772)
Номер опубликования: 0001202210310057
Дата опубликования: 31.10.2022
Страница №25 из 55:
Увеличить