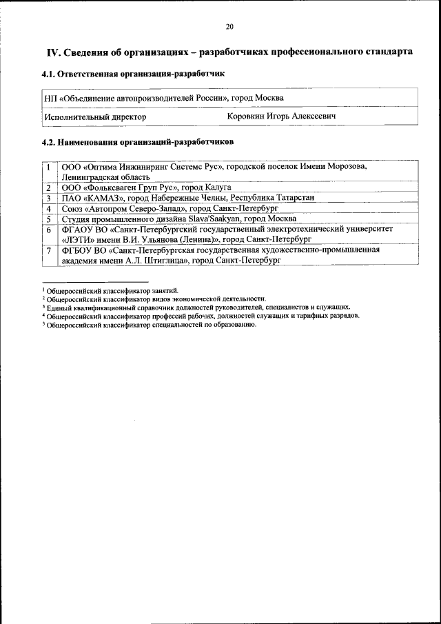
Приказ Министерства труда и социальной защиты Российской Федерации от 03.10.2022 № 600н
"Об утверждении профессионального стандарта "Дизайнер транспортных средств"
(Зарегистрирован 28.10.2022 № 70753)
"Об утверждении профессионального стандарта "Дизайнер транспортных средств"
(Зарегистрирован 28.10.2022 № 70753)
Номер опубликования: 0001202210280020
Дата опубликования:
28.10.2022
