Официальное опубликование правовых актов
ОФИЦИАЛЬНОЕ ОПУБЛИКОВАНИЕ
Приказ Федерального агентства водных ресурсов от 31.05.2022 № 137
"Об утверждении Правил использования водных ресурсов каскада водохранилищ № 1 и № 2 на р. Каменушке"
(Зарегистрирован 21.10.2022 № 70649)
Номер опубликования: 0001202210210020
Дата опубликования: 21.10.2022
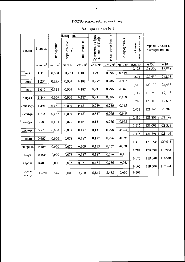
Страница №60 из 94:
Увеличить