Официальное опубликование правовых актов
ОФИЦИАЛЬНОЕ ОПУБЛИКОВАНИЕ
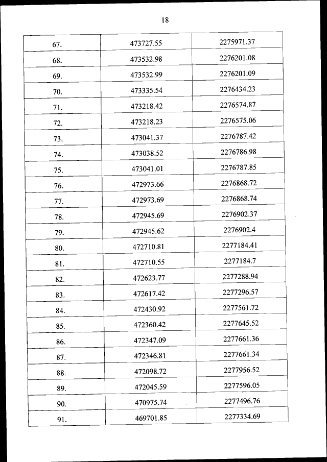
Приказ Министерства природных ресурсов и экологии Российской Федерации от 19.07.2022 № 484
"Об утверждении Положения о национальном парке "Сенгилеевские горы"
(Зарегистрирован 19.10.2022 № 70610)
Номер опубликования: 0001202210190040
Дата опубликования: 19.10.2022
Страница №19 из 258:
Увеличить