Официальное опубликование правовых актов
ОФИЦИАЛЬНОЕ ОПУБЛИКОВАНИЕ
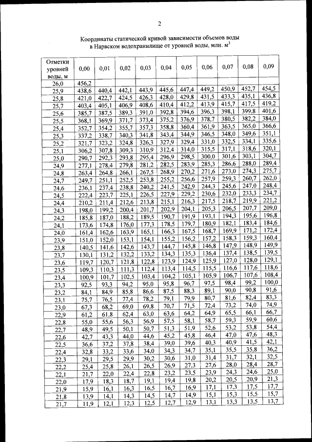
Приказ Федерального агентства водных ресурсов от 29.04.2022 № 108
"Об утверждении Правил использования водных ресурсов Нарвского водохранилища на р. Нарве"
(Зарегистрирован 30.09.2022 № 70336)
Номер опубликования: 0001202210030013
Дата опубликования: 03.10.2022
Страница №35 из 65:
Увеличить