Официальное опубликование правовых актов
ОФИЦИАЛЬНОЕ ОПУБЛИКОВАНИЕ
Приказ Министерства природных ресурсов и экологии Российской Федерации от 09.08.2022 № 516
"Об утверждении Положения о национальном парке "Куршская коса"
(Зарегистрирован 23.09.2022 № 70210)
Номер опубликования: 0001202209260004
Дата опубликования: 26.09.2022
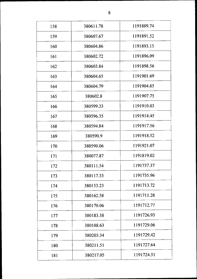
Страница №24 из 181:
Увеличить